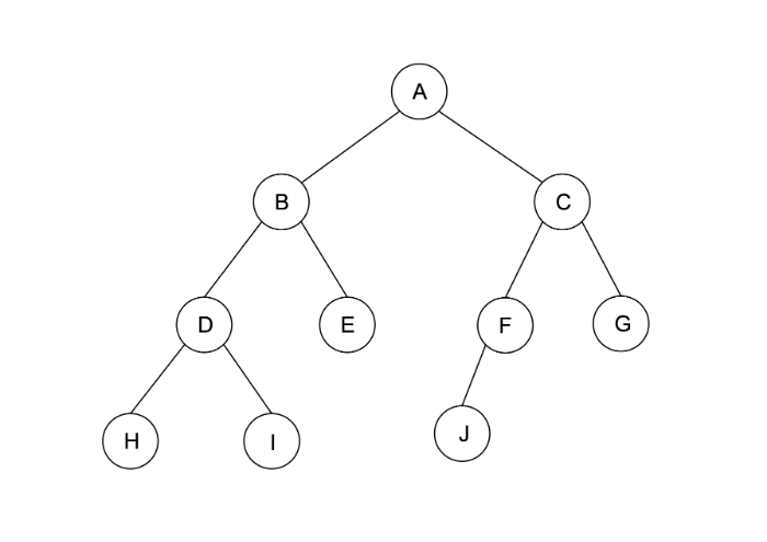
자료구조를 크게 분류하면 선형구조 비선형 구조가 있다.
선형구조(Linear)
원소들을 1:1로 앞뒤 관계로 순차적인 자료구조이다. 배열과 리스트, 스택 큐등이 있다.

비선형구조(NonLinear)
원소들간의 앞 뒤 관계로 여러개의 자료가 존재하는 계층적인 자료구조이다. 트리와 그래프 등이 있다.
트리는 크게 일반트리와 이진트리로 구분된다.

'Programming skills > CS(Computer Science)' 카테고리의 다른 글
| [CS] 인터페이스와 추상 클래스 차이 (0) | 2023.10.18 |
|---|---|
| [CS]객체지향프로그래밍(OOP) 특징 (0) | 2023.10.12 |
| TCP /UDP 특징 및 차이 (0) | 2023.09.04 |